Devpost
Participate in our public hackathons
Devpost for Teams
Access your company's private hackathons
Grow your developer ecosystem and promote your platform
Drive innovation, collaboration, and retention within your organization
By use case
Blog
Insights into hackathon planning and participation
Customer stories
Inspiration from peers and other industry leaders
Planning guides
Best practices for planning online and in-person hackathons
Webinars & events
Upcoming events and on-demand recordings
Help desk
Common questions and support documentation
An accessible, community informed navigation solution.
An interactive site highlighting women in CS with NSF data, team stories, and Gemini API. We explore trends, share coding journeys, and test code in one engaging platform.
Ever wish that you had a fairy godmother to help you look like your favorite celebrity? With GlassSlipper.ai, simply upload a picture of your favorite celebrity to help you look and feel your best.
A roguelike tower climbing game where the player plays as the cookie and climbs the tower by battling stronger and stronger gumdrops.
AttackTrace is a cloud-native honeypot analytics platform. It deploys SSH traps across many servers, streams logs into AWS DynamoDB, and transforms attacker data into real-time visual dashboards.
Test your memory of the U.S. states in this fun game, as you must draw them from memory! You have one minute to draw, then your drawing is compared to the real state's outline.
A Training assistant focused on presenting astronauts in training with scenarios and problems to solve based on real life situation that may occur on a space exploration mission
Inspired by John Conway's Game of Life, Quame of Life is the quantum version that uses the time dependent Schrodinger equation with nonlinear effects. Players can play in sandbox and challenge modes.
Imagine transmitting data at lightning-fast speeds without relying on conventional Wi-Fi. Meet Li-Fi: a game-changing tech using visible light, achieving speeds beyond conventional Wi-Fi's reach.
In modern times, there have been a plethora of unprecedented disasters. More than once, local governments have been caught off guard. EvacX can help mount a fast and effective evacuation response.
Improve your moves
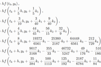
Graphing solutions any first order differntal equation with Runge-Kutta methods numerical approximations.
Make your mark at Pitt by sharing notes on an interactive map!