Devpost
Participate in our public hackathons
Devpost for Teams
Access your company's private hackathons
Grow your developer ecosystem and promote your platform
Drive innovation, collaboration, and retention within your organization
By use case
Blog
Insights into hackathon planning and participation
Customer stories
Inspiration from peers and other industry leaders
Planning guides
Best practices for planning online and in-person hackathons
Webinars & events
Upcoming events and on-demand recordings
Help desk
Common questions and support documentation
SIMPLE AUTHENTICATION SYTEM USING PHP
Redesigned Biserli bottle
In this Article , We will explain what we have learned about AI
Download Tabnine to your text editor and use it to write some code
Simple Project Management App Using Ruby on Rails
Made via tinkercad easy peasy
This is a copy of Digital Thermometer 🌡️. We made this by using Arduino Uno, jumping wires, Potentiometer and LCD of 16 * 2 . This device is virtual and is made on Tinkercad.
Use the Twilio API using java script to send a SMS message
Multi-Platform PWA Based Retro Style Ping Pong Game
# Water-my-plants-reminder A tiny script to remind you to water your plants at specified time using python.
STARTER'S KIT OF HOW TO USE API WITH PHP
SIMPLE CHAT ROOM FOR CHATING ONLINE
2 PLAYER PING PONG PWA GAME
SIMPLR CALCULATOR
Personal website @crackingfactory made with replit.com
UI/UX DESIGN
Reminder app
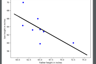
MACHINE LEARNING BASIS I LEARNED IN A DAY
INVISIBLE CLOAK USING OPENCV
PLAYLIST GENERATOR USING PYTHON
2FA-SYSTEM
SIMPLE GAME OF CRICKET WHICH WE USED TO PLAY IN SCHOOL ON PAPER BY USING A BOOK
TWILIO-SMS-GAME
SORTING-USING-PYTHON