Inspiration
1) Informal methods of lending in Rural Areas - the present day, still half of India lives without the Internet or a smartphone. People in rural areas have no formal way of borrowing money due to which they have to resort to asking from moneylenders or relatives at very high-interest rates. They are unable to pay back the debt and thus, they get trapped in a debt cycle. Our aim is to make them more financially inclusive and less dependent on informal methods of lending. 2) Lack of technical knowledge - Even if people have internet and a smartphone, most of them are unaware of the digital infrastructure and they would rather go to a bank physically. Our aim is to make them avail loans from the banks through a click on the phone. 3) Biasedness in processing the loans - On seeing the data, we realized that there still exists a biasedness in approval of loans. There exists a geographical bias favoring the urban people when compared to rural people. A villager would be less likely to get a loan approved than a person having the same income but from an urban city.
What it does
The Loan Approval System takes the application of loans submitted bu various people and predicts the chances of the loan getting approved without any bias.
There are three ways to access it: a. Through a Web Application b. Through a WhatsApp Chat Bot c. Through Direct SMS
In the App, it provides an in-depth analysis of the different factors such as income, past experience, and many others. It will provide a detailed report through which a person can have a better chance next time.
For people with less technical knowledge or no internet also, we have the WhatsApp Chat Bot method and the Direct SMS method respectively. The chances of approval is sent after a thorough analysis without any bias to the user on the respective channel through which he/she applied.
How we built it
- Extracted Loans and Demographics Dataset from Finastra Cloud Service.
- Trained different models on the dataset to detect and reduce both Algorithmic and Physical Biases.
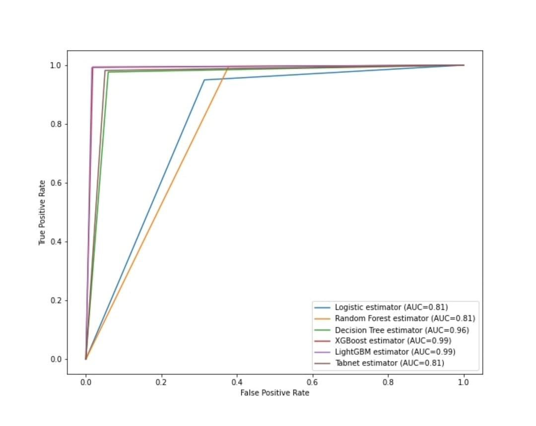
- Selected the best model based on F1 Score and Roc-Auc Curves of different models.
- Integrated the Random Forest model on three gateways: Web App, SMS Bot, and WhatsApp Bot. ## Challenges we ran into
- Data Science :
- Selecting the best models from the six models we trained on Finastra’s Dataset.
Integrating the visualization of the result from the model on WebApp.
Direct SMS and WhatsApp Bot :
Sending the text message back from the Flask server to the SMS bot running on NodeJS code after making loan approval predictions.
Integrating the full-fledged WhatsApp bot with the backend server to get the predictions.
Accomplishments that we're proud of
- Made an SMS service without Internet which lets the user know the approval status of their loans.
- Detected a bias in the data which was based on the states of India and the age of people. To solve this, we trained a model to remove this bias with high precision and accuracy.
- Added an interactive element through the WhatsApp Bot which makes it easier for people to submit their applications. ## What we learned
- Training more powerful models like XGBoost, LightGBM.
- Visualization of results of different models using LIME library.
- Using Twilio service to send and receive SMS directly without using the internet.
- Creating a full-fledged interactive WhatsApp Bot using Twilio WhatsApp APIs.
- Integrating ML models on the Flask Servers.
- Visualizing results of trained models using Sweetviz library. ## What's next for EasyLend We plan to eventually move to speech to text as people in rural parts of the country might not be comfortable in typing or writing. With this, one can target more and more people throughout the country.



Log in or sign up for Devpost to join the conversation.