-
-
GIF
Thumbnail
-
Architecture Diagram
-
GIF
Figma Designs
-
Firebase Authentication for User Login
-
User Interface for the Landing Page on Android Studio
-
Demo: Firebase Authentication for User Login
-
Demo: User Interface for the Landing Page on Android Studio
-
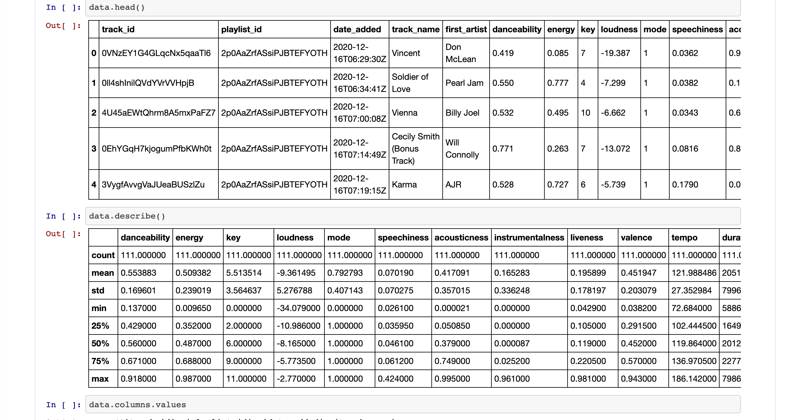
Used Spotify's API to analyse personality/ traits
Inspiration
As students, like ourselves, remain to be confined to a 13 inch LED screen to communicate and interact, it has been difficult to find a constant community, a space to play, learn, study and be an individual. 🌳
What it does
As a result, we created Studeo Mea which is an Android Audio App which is a virtual space to study, share resources, discover interests, discuss them with friends and meet new ones. Users can easily find and connect with others who have similar taste, interest and personality which is based on a taste test conducted on a Spotify Machine Learning analysis. It's also easier to connect with those who are around their geographical area.
How we built it
We utilised Figma to create the design foundation and layout plan of our project. From this, we coded the user interface using Flutter on Android Studio and integrate Google's Firebase for easy login. On the backend, we used python yo obtain the user's Spotify data using the Spotipy library, run analysis of the data on using Panda & numpy and trained the machine learning model.
Challenges we ran into
🌀Alex had difficulty with Android Studio since the emulator needed for hot reloads of the code and the IDE wasn't entirely easy to work with. 🌀It was Gabbie's first time coding anything at all so she spent about a solid 30 minutes trying to figure out which notebook to run code on. After this (minor) setback and after many Medium article reads, github scanning and stack overflow eyeing, she created the backend model but was unsure on how to create the frontend and making it functional for the user. 🌀This was Angel's first hackathon, everything was new to him, and he learned on the go.
Accomplishments that we're proud of
🏆Having a functional user interface 🏆Creating the backend of the machine learning model in order to test the user's personality and taste for better AI friend recommendation on the platform
What we learned
🌳Grasped better concept on how Flutter works and how Dart can be integrated onto the App as well 🌳Learnt how to use Spotify's Web API 🌳Learnt how to extract data from multiple Spotify playlists and categorise them into columns for further analysis
What's next for StudeoMea
🎯Creating a better user interface that integrates the backend models hosted on IBM Z Cloud 🎯Add more functionality to it: audio rooms, easy way to add files/ docs, messaging function
Log in or sign up for Devpost to join the conversation.