ReadMe.txt
Open the Index.html for web content! For edit, edit javascript and html file
Sonification: process of turning scientific data into sound, including music Advantages: allows for detection of new patterns in data through the addition of hearing as a sense, assists in areas where visual representation of the data may be overwhelming Current applications: Earthquake and solar radiation Neural data Stock market trends
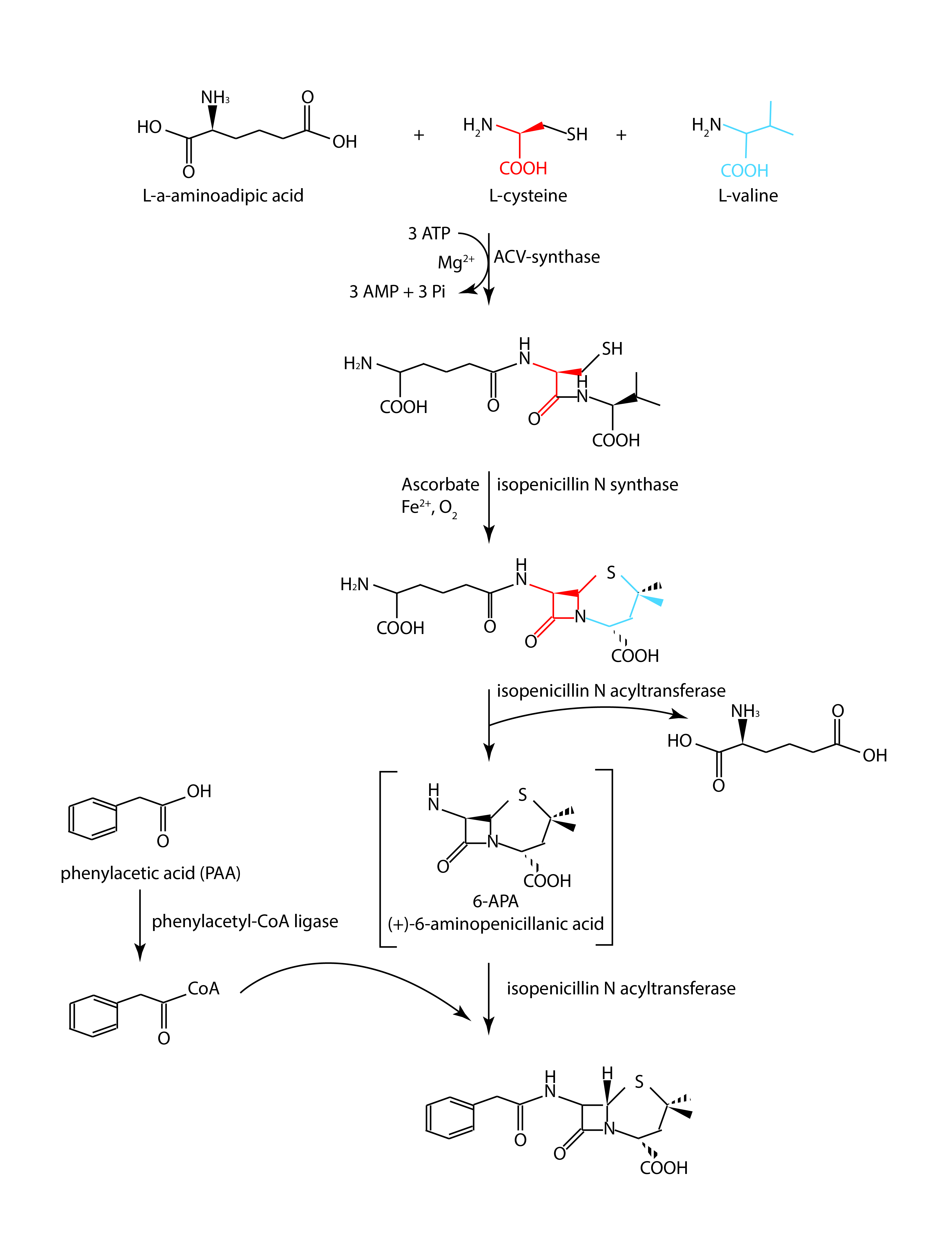
Sonification of chemical reactions and chemical syntheses can: Give the students an additional sense to perceive the course of the reaction and understand the relationship between reactants and product(s) Help students to connect what they see on a graph to understanding the mechanism because music is DYNAMIC, reminding students of the dynamic nature of molecular interactions
Log in or sign up for Devpost to join the conversation.