Inspiration
The inspiration for the Sea Sentry project came from the urgent need to monitor and predict the impact of oil spills on the environment and the economy, particularly in light of the recent oil spill off the coast of Tobago, which had a significant impact on the local ecosystem, tourism industry, and the economy. The project aims to develop a reliable system that can detect and predict the consequences of oil spills in real-time, allowing for quick and accurate responses to environmental hazards.
What it does
The Sea Sentry project is an AI/ML system that uses hyperspectral imagery and a geospatial data pipeline to detect and predict oil spills in real-time. We use a CNN with transfer learning to identify heavy oil on the surface of the water and predict the short-term price fluctuations of crude oil using a stochastic process called 'Heston Model Simulation' and the continuous Euler-Maruyama approximation. We also implemented a Flask backend to run our pre-trained model on images gathered from Sentinel Hub and send an email to our primary client to alert them when an oil spill is detected.
How we built it
We built the Sea Sentry project using TensorFlow to construct a Convolutional Neural Network (CNN) and employed a technique called transfer learning. We utilized a pre-trained model from the ImageNet dataset to detect oil spills in satellite images centred at a specific latitude and longitude. We trained the final convolutional layers on our dataset while keeping the weights of the remaining layers unchanged. We used Python with scipy, numpy, pandas, and Matplotlib libraries to implement the AI/ML model.
To generate training data for our model, we implemented a geospatial data pipeline that included hyperspectral imagery. We also used a mathematical model based on a stochastic process to predict short-term price fluctuations in crude oil prices. The system runs on a Flask backend, which runs the pre-trained model on images gathered from Sentinel Hub.
Challenges we ran into
One of the significant challenges we faced was training the CNN to detect oil spills accurately using hyperspectral imagery. Hyperspectral imagery captures the reflected energy from a target across a wide range of the electromagnetic spectrum, including the infrared wavelengths, making it challenging to identify the oil spills. We overcame this challenge by using a initial convolutional layer to convert the Hyperspectral image to 3 channels to apply transfer learning, which allowed us to fine-tune the model on our dataset and achieve high accuracy.
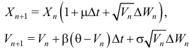
Another challenge we faced was predicting the short-term price fluctuations of crude oil using a stochastic process. We used the Heston Model Simulation and the continuous Euler-Maruyama approximation to predict the price fluctuations. However, the Levenberg-Marquardt Algorithm used to train the parameters for the Heston Model proved to be challenging to implement. We also had to ensure that the model was robust enough to handle the volatility of the oil prices.
Accomplishments that we're proud of
We are proud of building a system that can detect and predict oil spills in real-time, which can have a significant impact on the environment and the economy. We achieved high accuracy in detecting oil spills using hyperspectral imagery and transfer learning. We also developed a robust mathematical model to predict the short-term price fluctuations of crude oil using the Heston Model Simulation and the continuous Euler-Maruyama approximation.
What we learned
Throughout the project, we learned the importance of using hyperspectral imagery and transfer learning to detect oil spills accurately. We also learned about the challenges of predicting the short-term price fluctuations of crude oil using a stochastic process and how to overcome them. We gained experience in implementing a geospatial data pipeline to generate training data and supply our working model with real-time data. We also learned the importance of building a robust backend to handle the volatility of the oil prices.
What's next for Sea Sentry
Moving forward, the Sea Sentry project aims to expand its capabilities to other environmental applications such as agriculture, forestation, and global warming. By leveraging the power of AI/ML techniques, hyperspectral imagery, and mathematical models, Sea Sentry can provide accurate and reliable information to support real-time decision-making for environmental management and conservation. The project highlights the importance of using appropriate data pipelines and mathematical models to support real-time decision-making and the potential of AI/ML techniques for predicting and detecting environmental hazards.


Log in or sign up for Devpost to join the conversation.