-
-
DATA PRE PROCESSING
-
CLASS DISTRIBUTION
-
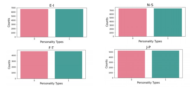
DISTRIBUTION OF PERSONALITY
-
OUTPUT OF TESTING VARIOUS MODEL ON VARIOUS PARAMETER INCLUDING ACURACY ,PRECISION ,F1 SCOORE,RECALL
-
LOGIN PAGE OF OUR APPLICATION "WE EMPLOY" WHICH PREDICTS PERSON'S PERSONALITY BASED ON HIS CV
-
IT PROVIDES PERSONALITY SCORES OF THE CANDIDATE WHICH WILL BE ESSENTIAL FOR HIRING PROCESS
-
VAROIUS KINDS AOF PERSONALITY BASED MBTI MODEL
Building a Personality Prediction Model
Introduction
Are you fascinated by the human psyche and the intersection of technology and psychology? If so, you'll be interested in our journey of building a Personality Prediction Model. This exciting and challenging endeavor led us to valuable lessons, steps involved in building the model, and challenges we faced along the way. Join us as we take you through our project story and discover the inspiration behind it.
What We Learned
During this project, we gained valuable insights and skills that helped us build a successful Personality Prediction Model. Here are some of the things we learned:
Natural Language Processing (NLP):
- We became proficient in processing and analyzing text data using NLP techniques such as tokenization, feature extraction, and sentiment analysis.
- We also became experts in using NLP libraries such as NLTK and spaCy.
Machine Learning:
- We explored various machine learning algorithms and models, such as Support Vector Machines, Random Forest, and Neural Networks, to predict personality traits.
- We gained a deep understanding of how to use these models to build accurate predictions.
Personality Psychology:
- To ensure the model's accuracy, we had to familiarize ourselves with the concepts of personality psychology.
- We became experts in the Big Five personality traits: Openness, Conscientiousness, Extraversion, Agreeableness, and Neuroticism.
Data Collection and Preprocessing:
- We learned how to collect and preprocess data from social media platforms for model training.
- This involved handling missing data, text cleaning, and feature engineering.
- We became proficient in using tools such as pandas and numpy.
Model Evaluation:
- We gained a deep understanding of evaluation metrics for NLP models, such as F1-score and accuracy.
- This knowledge was crucial in assessing the model's performance and ensuring its accuracy.
Building the Project
To build the Personality Prediction Model, we followed a step-by-step process as outlined below:
Data Collection:
- We collected textual data from social media platforms such as Facebook, Twitter, and Reddit.
- We ensured that the data we collected was diverse and represented a wide range of personalities.
Data Preprocessing:
- The collected data was cleaned by removing special characters, stopwords, and non-informative words.
- We then used techniques like TF-IDF to convert the text into numerical features.
Model Selection:
- We experimented with various machine learning models and finally chose Support Vector Machine (SVM) due to its excellent performance in text classification tasks.
Training and Testing:
- The dataset was split into a training set and a testing set.
- The model was trained on the training set and evaluated on the testing set.
Model Evaluation:
- We evaluated the model's performance using metrics such as F1-score, accuracy, and confusion matrices.
Fine-Tuning:
- To improve the model's accuracy, we fine-tuned hyperparameters and experimented with different NLP techniques.
Deployment:
- Finally, we developed a user-friendly web application that allows users to input text, and the model predicts their personality traits.
Challenges Faced
- The project faced several challenges that required a decisive approach.
- Maintaining data privacy was a major priority, which meant strict adherence to privacy regulations and anonymization of collected data.
- Mitigating potential bias in model predictions was a constant concern, requiring proactive measures to prevent disproportionate effects on particular groups.
- Feature engineering from text data posed a challenge, requiring a confident balance between features.
- Comprehending and articulating the rationale behind the model's predictions was an intimidating task, particularly with complex models like neural networks, and called for assertiveness.
Conclusion
The journey of building a Personality Prediction Model was an incredible experience that taught us so much about NLP, machine learning, and the intricate world of personality psychology. Witnessing how technology can be harnessed to gain insights into human behavior was truly inspiring. Despite the challenges, we persevered and demonstrated the power of interdisciplinary exploration and the limitless potential of AI and data science in understanding and predicting complex human traits. This project was a remarkable testament to our ability to use technology to unlock a deeper understanding of ourselves and others.
Log in or sign up for Devpost to join the conversation.