Inspiration

The Idea for Mealor AI was born out of a common struggle, maintaining a healthy and consistent diet amidst busy schedules. Many existing meal planning apps felt static and generic, often ignoring the personal and cultural context that shapes our eating habits.

We wanted to create something dynamic, intelligent, and deeply personal, a system that understands you, Not just your calories. With the emergence of Google’s Gemini AI Studio, we saw an opportunity to build a smarter solution that fuses AI reasoning with practical nutrition planning.

The goal was simple:

To make healthy eating effortless, personalized, and culturally relevant — powered by AI.

What it does

Mealor AI is an intelligent web application that generates personalized weekly meal plans based on your biometrics, dietary preferences, lifestyle, and health goals.

What makes it stand out is its cultural awareness, when users specify their location, the AI incorporates traditional and locally relevant dishes into the plan. For instance, a user in Nigeria might see “Jollof Rice with Grilled Chicken,” while a user in Japan might get “Salmon Bento with Steamed Vegetables.”

Key Features

  • AI-generated weekly meal plans using Gemini 2.5 Flash.
  • Cultural/traditional meal adaptation based on location input.
  • Dynamic meal swapping and full plan regeneration.
  • AI-powered shopping list generation with ingredient categorization.
  • Smart chat assistant for meal recommendations and nutrition advice.
  • Downloadable meal plan & grocery list PDFs for offline use.

In short, Mealor AI acts as your personal AI nutritionist, guiding you toward your health goals while respecting your culture and preferences.

How we built it

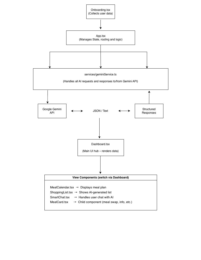
We developed Mealor AI entirely inside Gemini AI Studio, leveraging the platform’s code generation and direct deployment capabilities. The project was vibe-coded collaboratively with Gemini, from ideation to production.

  • Frontend: Built with React + TypeScript for structure, interactivity, and maintainability.
  • Styling: Implemented with Tailwind CSS, ensuring a clean, modern, and responsive design.
  • AI Integration: Used the @google/genai SDK to communicate with the Gemini 2.5 Flash model, chosen for its balance of speed and intelligence.
  • Structured Data: Used JSON schema mode to ensure predictable and reliable AI outputs.
  • Deployment: Deployed directly to Google Cloud Run from Gemini AI Studio, achieving a fully serverless and scalable setup.

The development process showcased how AI-assisted coding and cloud-native deployment can work together to accelerate modern app development.

Challenges we ran into

Building an AI-driven system that balances personalization, accuracy, and structure came with its share of hurdles:

  1. Structured AI Responses:
    Designing strict JSON schemas for Gemini was essential but challenging, ensuring that meal data, recipes, and ingredient lists were always correctly formatted.

  2. Cultural Relevance:
    Teaching the AI to generate location-aware meal plans required careful prompt engineering to blend local cuisines with nutritional balance.

  3. Performance Optimization:
    Integrating real-time AI calls while keeping the UI responsive involved caching strategies and smart loading states.

  4. PDF Generation:
    Generating a rich, multi-page PDF with well-formatted meals and shopping lists required precise layout handling and testing.

Despite these challenges, the collaboration between human creativity and Gemini’s intelligence made the process both rewarding and efficient.

Accomplishments that we're proud of

  • Successfully vibe-coded and deployed a fully functional, production-grade AI application directly from Gemini AI Studio.
  • Created a system that can adapt to users’ dietary goals and cultural contexts.
  • Designed a minimal yet beautiful interface that feels intuitive across all devices.
  • Achieved structured and stable AI outputs using schema-based responses.
  • Enabled zero-config deployment to Cloud Run, showcasing the future of AI-native app delivery.

What we learned

Building Mealor AI taught us the power of AI-assisted software engineering and iterative design with generative models.

We learned:

  • The importance of clear schema design for consistent AI behavior.
  • How prompt engineering can fine-tune models for cultural and contextual understanding.
  • How AI Studio and Cloud Run can create a seamless end-to-end development workflow, from concept to deployment.
  • That user experience is as crucial as AI intelligence; great design amplifies trust and usability.

It also reminded us that collaboration between developers and AI can be a powerful creative process, almost like pair programming with an intelligent partner.

What's next for Mealor AI: Meal Planning Reinvented with Gemini AI

Looking ahead, we aim to take Mealor AI beyond just meal planning:

  • Deeper Personalization: Integrating continuous learning from user feedback and health tracking devices.
  • Expanded Cultural Datasets: Enabling Gemini to understand and suggest meals from even more regional cuisines.
  • Mobile App Launch: Developing Flutter-based mobile versions for Android and iOS.
  • AI Nutrition Coach: Allowing real-time calorie adjustment and portion resizing through conversational chat.
  • Integration with Wearables: Syncing with devices like Fitbit or Google Fit for adaptive nutrition advice.

Our vision is to make Mealor AI not just a planner, but a lifelong nutrition companion, helping users eat smarter, live healthier, and stay connected to their culture through food.

Share this project:

Updates