-
-
Logo + Slogan
-
GIF
Lander Page
-
GIF
Smooth Onboarding
-
Zoom-esque meetings, with video, audio, and screen share functionality
-
-
Sleek Dashboard Design
-
Smart Connection Matching Based on Interests and Professions
-
GIF
Managing one's connections, responsive real-time chat app
-
Research pg.1
-
Research pg.2
-
Pitch Deck pg.1
-
Pitch Deck pg.2
-
Pitch Deck pg.3
-
Pitch Deck pg.4
-
Pitch Deck pg.5
-
Pitch Deck pg.6
-
Pitch Deck pg.7
-
Pitch Deck pg.8
-
Pitch Deck pg.9
-
Pitch Deck pg.10
-
Pitch Deck pg.11
-
Pitch Deck pg.12
-
Pitch Deck pg.13
-
Pitch Deck pg.14
-
Pitch Deck pg.15
-
Pitch Deck pg.16
-
Pitch Deck pg.17
-
Pitch Deck pg.18
-
Pitch Deck pg.19
Inspiration
We were motivated by the overwhelming negative perception surrounding LinkedIn. Many people complained about its poor UI, unprofessional atmosphere, and general tendency to impede professional connection.
What it does
LinkUp takes the ideology behind LinkedIn and actually implements it properly. LinkedIn facilitates connections between industry and academic professionals through a sleek, minimalist UI, a self-cleansing productivity-oriented atmosphere, and a commitment to foster network growth.
How we built it
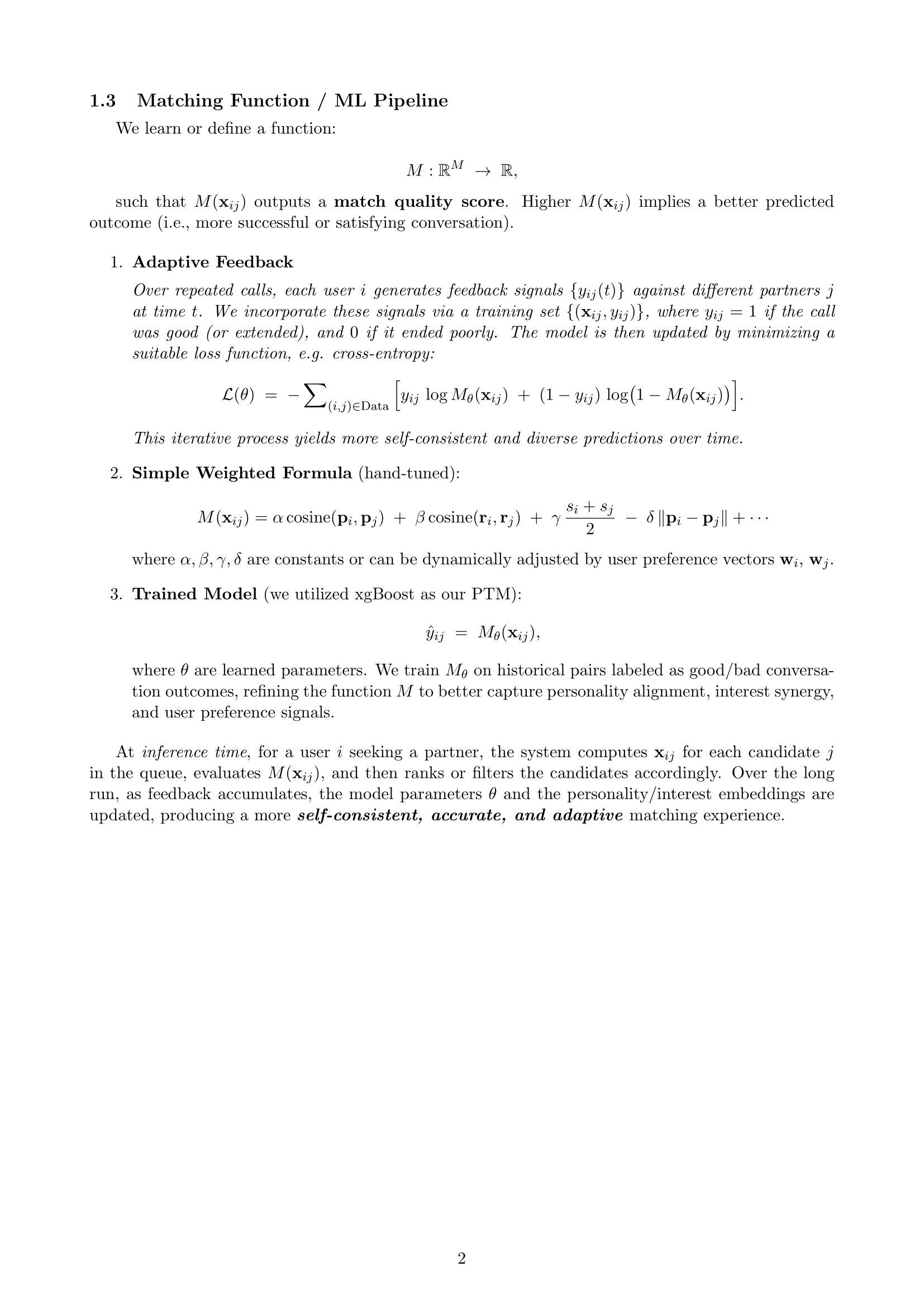
To bring LinkUp to life, we used NextJS and React. To include seamless authentication and onboarding, we leverage Clerk. We are committed to real human interaction -- our use of getStream allows us to generate realtime video and voice calls in a scalable, impactful fashion. Finally, we leverage an advanced ML-powered user score system to effectively match professionals with like-minded peers. (Specific technicalities refer to our github readme).
Challenges we ran into
We initially attempted to provide user authentication via Supabase. This proved unfruitful, so we migrated to Clerk (although we still use Supabase for our backend).
Accomplishments that we're proud of
We are firstly proud to have a working product demo showing off our most impactful features. We are confident that our current application is scalable and modifiable, as we plan to continue working on it even past Digital Jam.
What we learned
We learned that hackathons can be stressful and nerve-wracking, but also fun. We learned a lot about Clerk and Stream -- none of us had ever used these APIs before -- in a raw, experience-focused way that couldn't happen in a non-hackathon setting.
What's next for LinkUp
We are slated to add several new features to LinkUp: B2B meeting opportunities, mentor-client sessions, and employer-employee interviews, to name a few. We are also committed to improving the general look and feel of the app, to ensure its competitiveness to the best of our ability.


Log in or sign up for Devpost to join the conversation.