Who are we?

Inside Euronext, an SME Rating Agency:

With the rating provided by Inside Euronext, SMEs can easily get the necessary support from our network Banks, Governments, or even from the private investors because of our purely advanced mathematics backed trustworthy rating method.

Inspiration:

We are Data Scientists and we speak to numbers and when it came to our attention that 2.3 million businesses are going to be affected just in the tourism industry, we decided to bring our best out there to tackle the situation.

Vision:

Inside Euronext will resolve the bureaucracy issue for SMEs and will help in getting easy as well as necessary access to liquidity with our two-fold solution.

Our Proposal

Trust with Quality, the two fundamental elements of our business. We would like to be the breeze of trust between SMEs and the financial institution or bodies keeping the quality in the core of our business.

SME’s face some challenges on the way, as in liquidity, bureaucracy, and difficult access to credit. Tourism is one of the sectors that have been more harmed in terms of business planning. Taking the contribution of the Tourism Industry in the GDP of EU countries, we would like to currently emphasize on SMEs of the tourism industry in order to narrow down our scope.

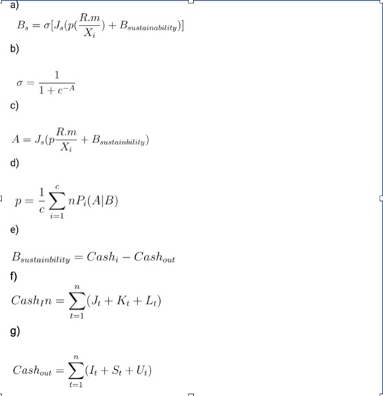
We propose a short-term and long-term solution, where clients provide their financial parameters - cash flow, past revenues, number of customers in past - and we feed those variables to our algorithm as an input, and it performs scenario analysis, based on government restrictions and shortfalls. We model different scenarios, taking into consideration the customer behavior in these proposed scenarios.

What it does

Inside Euronext developed a data-driven algorithm tool, supported by a user-friendly app, where our clients give their financial status inputs, and we send them their financial health status for given scenarios. Our solution helps SMEs (mainly in the tourism industry) to reflect their financial survival status. Our two-fold Solutions:

  1. Financial health checkup for companies.
  2. Advanced mathematics backed rating of SMEs for the financial institutions or bodies ## What makes us different

Instead of a predicting based model, where using past records can be tricky (most of past records are stable situations), our approach is based on possible scenario outcomes, guaranteeing the inclusion of a wider broad of future trends.

Why do World needs us?

Let's take the Tourism industry as an example. There are 2.3 million businesses and around 27.3 million jobs closely linked with SMEs, which contributes 10.3% of the overall EU's GDP. Source

If we do not take immediate preventive measures to help SMEs, it will have a ripple effect on our economy, on the unemployment rate, and on each of us. Now, the question is, how do we prioritize the preventive measures for different SMEs? How does a financial institution really know, to the SME they are lending money, really needs the money? How do we prioritize the need and distribution of money? And that's where we come in.

  • We help SMEs with our multivariate advanced mathematical model to evaluate their financial needs and their rate of survivability given different lockdown scenarios.

This will help the SMEs to revive themselves as well as revive the economy in the current downturn of the economy.

How we stand out:

  • The key value proposition is that our mathematical model also takes into account, lockdown period of both host and guest countries in order to make the model near-real accurate.
  • Our approach to the solution also makes difference between our competitors and us: As professional data scientists, knowing the vulnerability of economy and data, we decided not to use any predictive model because the training data itself will be going to bias in general terms due to uncertain economic new normal and the unique of its kind current scenario. Therefore we preferred developing a mathematical model over the predictive model.

** Our Success Impressed by the solution, one of the mentors from a management consulting company MPDO (www.mpdo.gr) has already shown interest for further collaboration and possible implementation for Greece.

Main Doc: https://docs.google.com/document/d/16kJAWVD6rQ8ivC29re3cXLgvBsllaRZZDyR38D84JaQ/edit?usp=sharing

Built With

Share this project:

Updates