About the project

Few research look into the perceptions held by faculty and teachers regarding educational video games (EVGs) in the classroom, so we collected the data from educators experiences of implementing EVGs in the classroom setting, and using confirmatory factor analysis (CFA) to analyze the data.

Purpose

The purpose of this study is to gain insights into the experiences and perceptions of faculty members with respect to educational video games and how they can be integrated in the curriculum.

How we built it

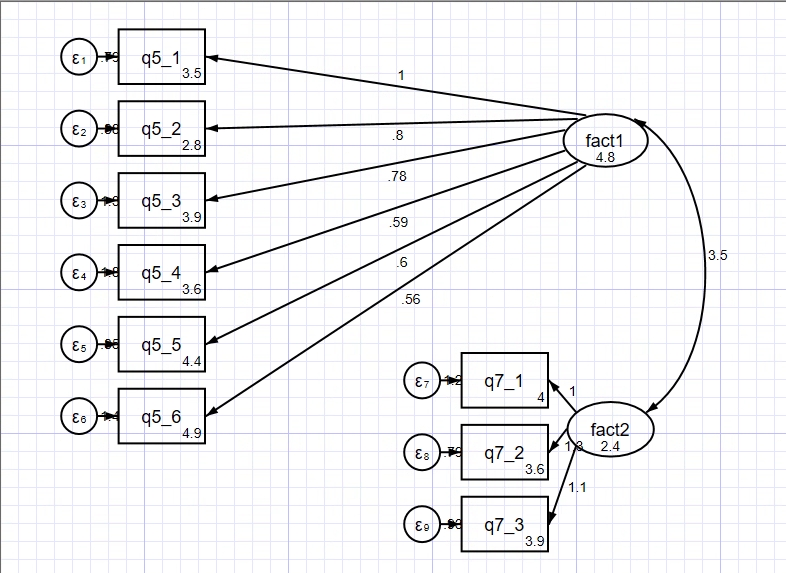
We used STATA to create the SEM model and test them using CFA, based on the data we got and fix the model to improve the results

What we learned

Data analysis; Confirmatory Factor Analysis;

What we implemented

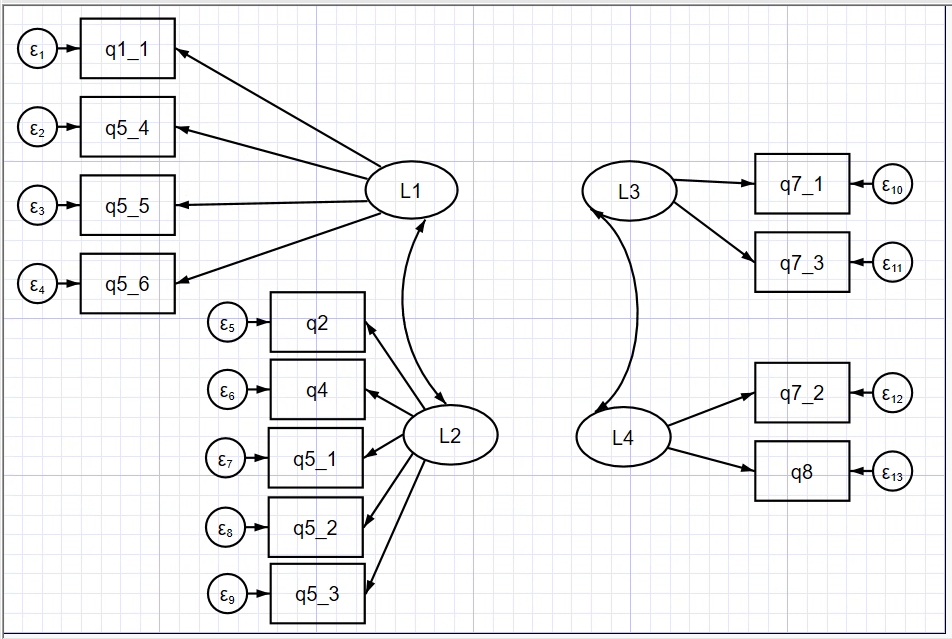
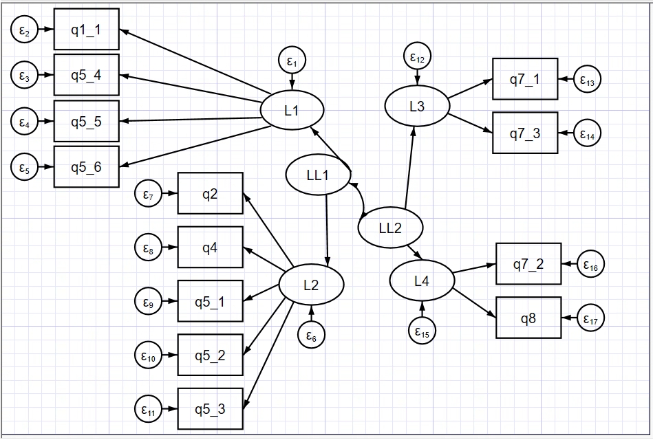
We built 3 SEM models, and the results indicated that our model had improved!

LImitation

  1. Survey questions need to design to be more fit to the model
  2. Numeric survey data should be in the same likert scale

What's next for Implementing EVGs in the Classroom Setting

  1. Modify the qualtrics survey question
  2. Expand the sample size
  3. Get more variety data

Built With

  • stata
Share this project:

Updates