-
The red marker is the exact location of the meter, whose readings we captured from different locations around this apartment. Bad Security!
-
We took meter readings while on the move.
-
This shows how well can hackers find out water consumptions.
-
Heat consumption and room temperature
-
Number of smoke alarms triggered
-
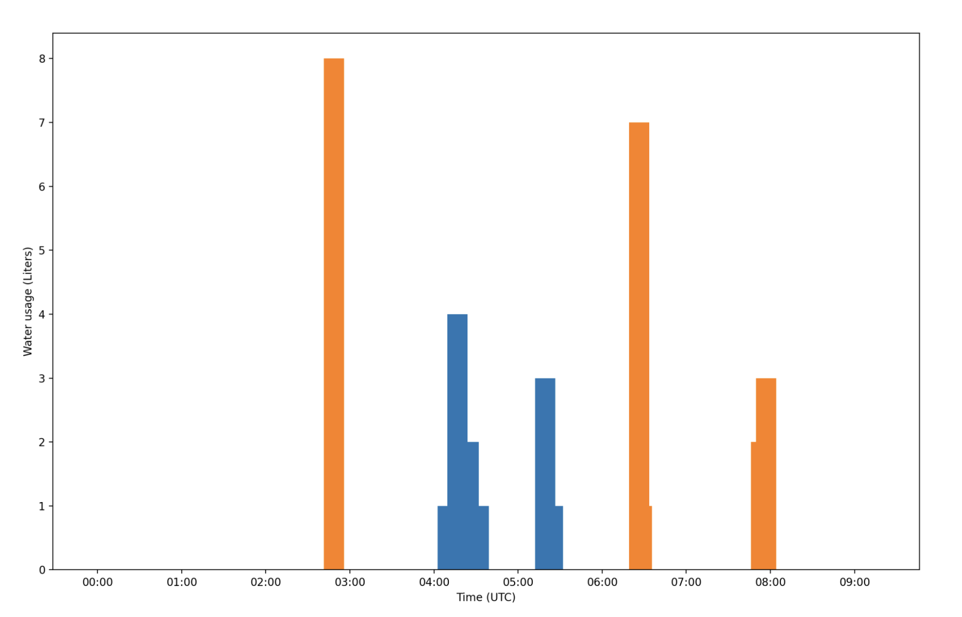
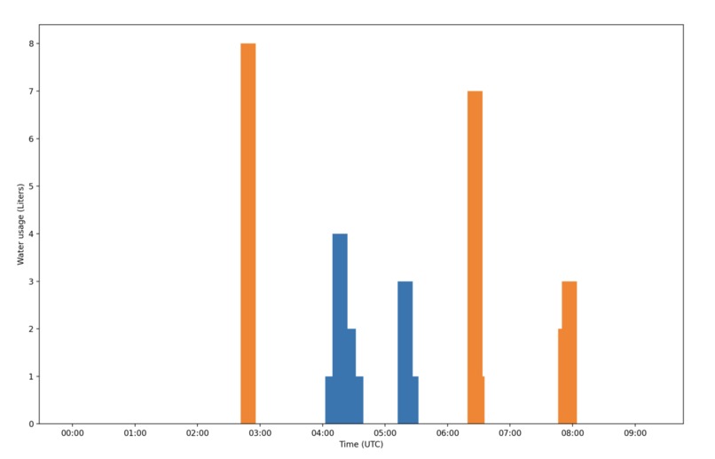
Tracking an apartments water consumption over time
Inspiration
New laws mandate meters in homes to send out data for remote readings. What could go wrong?
What it does
Most of the data is sent out unencrypted every few minutes. You can get information on the electricity usage, heat consumption, water usage, smoke detector battery levels and even the current room temperature. Correlate the data with a GPS location and a signal strength and you can triangulate the exact location of the signal. You can imagine what you can do with this sensitive information...
How we built it
We used some USB dongles to receive the meter readings and tracking a GPS signal. We used a small python script to read the values and format them correctly. Then we analyzed the data using streamlit to draw the data points on a map.
Challenges we ran into
Our hardware had some issues and the data needed some extensive processing to be usable.
Accomplishments that we're proud of
- We could correctly locate the meter's location by analysing all the GPS signals and signal strength for a particular meter.
- We could show that there is a lot of knowledge to be extracted from a household's usage statistics.
- We are definitely the team that walked the most through the city during the hackathon :)
What we learned
Most office buildings seem to not send out a lot of sensitive data. The most data can be harvested in residential areas. About % of data is unencrypted!
What's next for Heat Hunt
Figure out attacker models and come up with ways to protect against them. Raise awareness that this is a problem.

Log in or sign up for Devpost to join the conversation.