See the repo for more info, code, and powerpoint. GitHub repo
Inspiration
We were inspired by the recent COP26 climate conference held in Glasgow, Scotland. There, world leaders convened to discuss strategies for reducing the rate of global warming. As well, we were inspired by the latest Nobel Prize in Physics which was awarded for dynamical systems modelling of climate change.
Project Goal
Use Physics Informed Neural Networks to model the set of coupled differential equations that govern the patterns of Earth’s temperature, Ice coverage, and CO2 based on the data acquired during the last half-century Using the the data recovered from our ML model make predictions about near future.
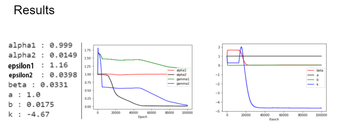
We used a new open-source Machine Learning library called DeepXDE to find the constants in our ODE system using historical data of global average temperature, sea ice coverage, and carbon concentration. DeepXDE leverages Physics Informed Neural Networks (PINNs).
How we built it
Using a brand new library called https://deepxde.readthedocs.io/en/latest/ that utilizes physics informed neural networks. (PINNs). Based on the paper: https://arxiv.org/abs/1907.04502. (Lu, et. al, 2020)
Challenges we ran into
We have some useless data that was unusable/ we had to couple the equations based on intuition
Accomplishments that we're proud of
We were able to justify our models behaviour/ sort out the significant info from insignificant/
What we learned
There are multiple phases to a project. a lot of rethinking and re-evaluation that needs to be done before coming up with a solid idea.
What's next for Great Dynamics
Even greater dynamics



Log in or sign up for Devpost to join the conversation.