Our code is inspired by a need to make biotechnology more of a significant part of peoples' lives - we have a vision that the human genome can become more of a tangible asset to people and their well being. Our target user is ideally anyone who has the ability to understand and apply biological data, but more specifically can be used by researchers and physicians looking to develop more efficient and applicable ways to cure diseases and treat patients. This type of data can have a further impact on the future development and branching out of genetic research and medical applicability, essentially yielding even more benefits for the people of our society and world. Although we are proud of our extensive data collection and both our aesthetic minimalism and visibility, we are most proud of the significant potential our project has - not only in terms of the medical industry - but also with regards to the potential we can have on the world and its people.
Built With
- cbio-cancer-genomics-data-server-(cgds)
- flask
- html
- illumina-basespace
- javascript
- jquery
- json
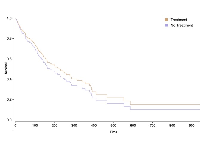
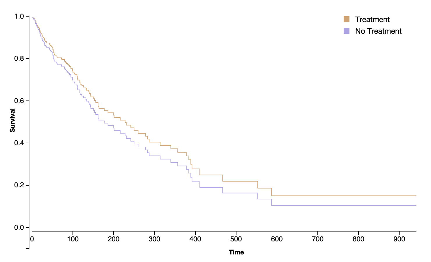
- kaplan-meier-estimator-plot
- mongodb
- pymongo
- python
Log in or sign up for Devpost to join the conversation.