Inspiration
Automate my CS311 homework.
What it does
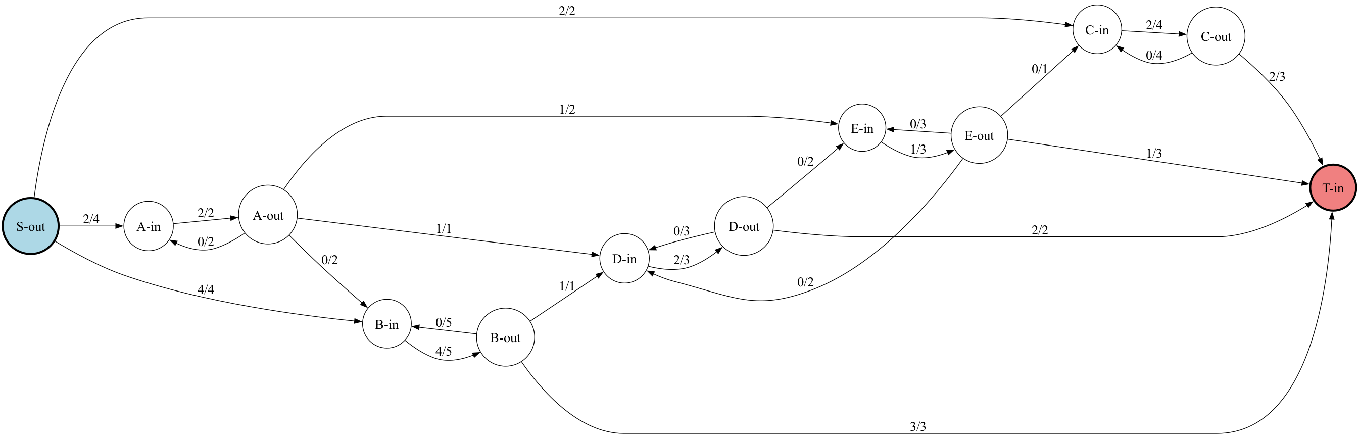
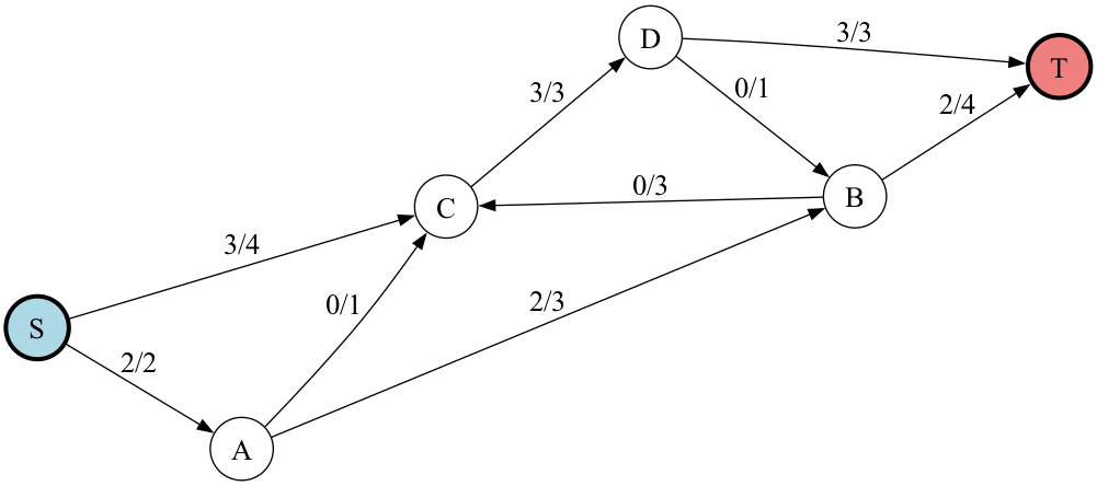
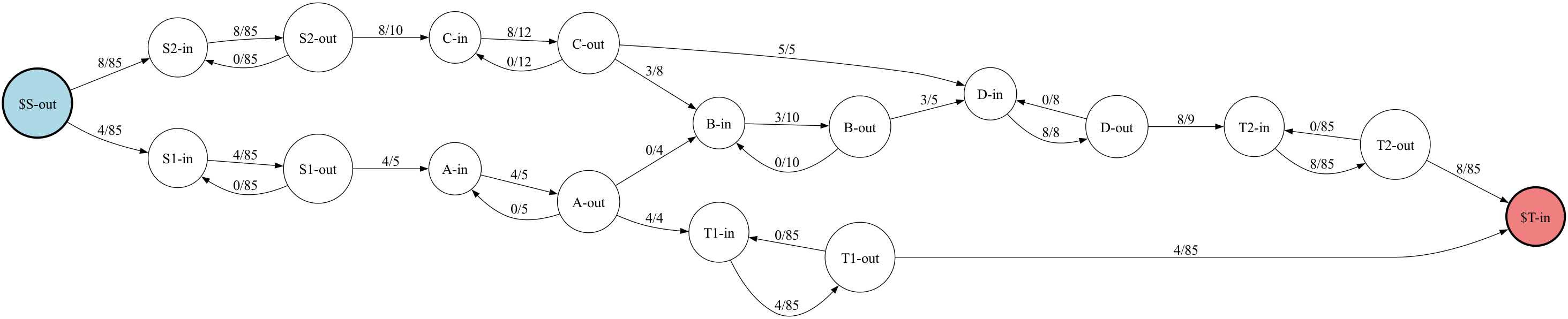
Solves any flow capacitated network.
How I built it
Written in C++. All conversion/solver algorithms are by hand. GraphViz for output rendering.
Challenges I ran into
Undefined behavior so bad removing a print statement broke functionality.
Accomplishments that I'm proud of
The output looks very slick.
What I learned
How flow capacitated networks work.
What's next for Flow Capacitated Networks
Checking my homework and labs.
Built With
- c++
- graphviz
Log in or sign up for Devpost to join the conversation.