-
-
System Photo
-
Container
-
Close look at measurement point
-
Measure unit
-
Copper strip
-
NMOS circuit
-
Resistor Measurement Design
-
capacitive measurement circuit prototype
-
capacitor sensor proptotype
-
resistor measurement prototype circuit
-
Early test
-
capacitor measurement test data
-
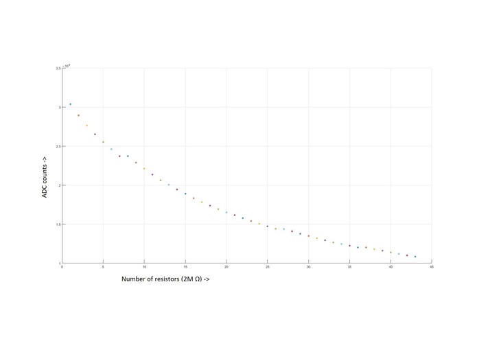
resistor test data - first attempt
-
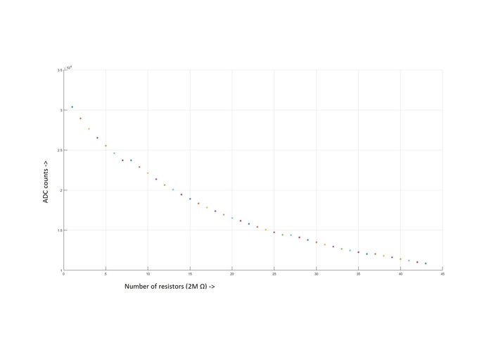
data reading from finalized prototype
-
Faild prototype containers
Resistor Method Report
Project Report -Resistor Method
Team Github Page
Inspiration
Urine output is a critical parameter, especially in postoperative care. Abnormal urine output is an early warning sign of life-threatening complications related to the surgery and is often serious enough that it can require immediate attention. Despite being so important, current solutions require a nurse to manually note urine output every hour which may cause a delay in noticing any issues as well as causing more work for the nurse.
Our solution is simple; Why not stick a sensor in it?
Methodology
We are testing two methods for measuring the volume of urine. Our methods rely on measuring different physical properties and are designed to minimize the necessary number of connections between the disposable measurement device and controller, and simplifies the design and complexity of the system.
The first method relies on a continuous measurement using a capacitive measurement. The second method relies on a discretized measurement using resistors to provide a measurable voltage at each measurement point.
Milestone 1
Beginning with the capacitive method, we used a self-designed sensor as shown above. Two large conductive sheets closely spaced (copper tape) which provides continuous measurement of the height of liquid within the container, and two small conductive sheets at the bottom of the sensor provide calibration for the system. Using a waveform generator, a sine wave is generated. The changing capacitance of the sensor (due to the change in liquid volume and hence dielectric permittivity) changes (causes a leading wave) which is measured and can be used to calculate the capacitance and in turn the liquid level.
The second method uses a set of resistors that form a discrete measurement of fluid level. The urine simply completes the circuit and voltage output (across the resistor) is measured to give us an output. The main design consideration is to make sure that the solution leads to a minimum number of pins coming out of the container (in our case we have 3).
Milestone 2
Our second milestone involves testing both solutions and eventually deciding on the best one for final testing in the hospital. We've attached our test data for both methods.
Milestone 3
Our next iteration will involve building a container and adding a display and web server for our Urine meter. Also, we are working on improving the resistive method so that we can linearize the measurement rather the 1/x curve we currently have.
Hardware used
1) Arduino Uno, Arduino MKR1000 2) 16 bit ADC 3) Photon 4) Waveform generator 5) Negative voltage source 6) Op-Amp
Challenges
The Photon is difficult to work with due to the curious decision that requires all code to be uploaded to the cloud. It also causes the Photon to have subpar performance despite having a 120MHz ARM Cortex M4
The waveform generator does not program with anything except the UNO. Despite multiple workarounds (such as level shifting the SPI to 5V, using other microcontrollers). This is currently a major sticking point.
Test Log
Log 11,2 Test with SCR control circuit used an SCR to control a LED. If only using an SCR to control, even with a pull-down resistor at the gate of the SCR, when disconnected power from the gate, the LED won't turn off. Also, test with a simple prototype of resistor measurement on breadboard through water, the voltage changes as expected from the math calculation. A problem is found when using the resistor measurement with SCR control circuit. The measurement resistor cannot be too large. For now, the test used a 100k measurement resistor and 2M parallel resistor, which was connected with the SCR. For the previous test, the measurement resistor is also 2M, but there will be a 1V drop across the 2M measurement resistor even if there are no parallel resistors connected after the measurement, that is the circuit only had an SCR and a 2M resistor, and the measurement voltage is 1V instead of 2V, which is the input voltage. The potential guessing was that the SCR is not an open circuit ( large resistance diode ) when there was no gate current, so if a series resistor is too large, then the resistance of the SCR is comparable with the series resistor which will result a voltage drop across, so the measurement resistor cannot be too large. When the test with salt water, as soon as the water connected with the measurement pin on the container, the SCR was turned on, there is no need to put a series resistor to the gate of the SCR ( salt water resistance ), the data seems working ok, there is no need to put current limit resister since the water resistance will limit the current through the gate of the SCR.
Log 11.4 Still tested with SCR prototype, there were some issues with the breadboard we used and the data reading from the SCR was not continuous. Need to fix the container configuration of we need to make a new container. I would like to also test with another idea which just using resistor through the container since if we could use large enough resistor, then the resistance through the water could be ignored and the overall design would be even simpler. Here was the test data with just using 9 resistors and connected through the water, the data seems good. Error rate compared with the calculation is around 1%.[https://drive.google.com/drive/u/4/folders/0B0_ygoe28VEuQ2dTMkN2azBNUW8] For this idea, we need to test a container with higher resolution, more pins, at least around 50 pins. If this idea works, then I prefer using this since we won't need to have any SCR in the circuit and there would only be 2 wires connected out from the container. But for this idea, a PCB is needed for more test prototype.
Log 11.7 Update timeline: Up to and including week of 10/31 - get components and initial design and circuit testing 11/7 - initial full device testing -cap -discrete -robustness, potential issue, the test will real urine?
11/14 - prototype finalization -container with the sensor installed -data from the system which will be used for the Philip display
11/21 - integration with patient system (through Philips monitor system)
11/28 - clean up and demo!
Log Meeting with Marcoo: The problem with the resistor measurement was when the number of resistor getting larger, the changing is the difference was hard to notice since the relationship between the parallel resistor and the total resistance is 1/x, so when the number of the resistor getting larger, the reading will be flat. So we need to come up with a way to increase the reading with a large number of resistors when water connected them into a circuit. ( potential ideas were, first, to make the total resistors changing relationship into linear. This could be done by having all the resistors in parallel with a pre-designed value so that when they were connected in parallel, the total resistance is to be linear. The cons of this solution were, some of the resistor value didn't exist. Second, another potential solution is to change the gain of our ADC reading. For now, our ADC reading has 4 gain change option, 1,2,4,8. So when the output reading was small, we could enlarge the gain of our ADC so the value reading from the ADC will be large enough to notice and used for further calculations.) Also, need to make some more new containers for testing.
Log 11.11 Test with ADC chip using the different gain reading value from the container.
Log11.15 Test Arduino reading data with Matlab. Update Matlab code to GitHub and gathered data from a container.
Log.11.18 The new container has some issues that different measurement pin has different resistance ( water resistance), seems like the resistance value changes from 1k to 1M which is hard to control. The largest value of resistor we have on hand was 2M, which is not large enough to use for resistor measurement. For now, our resistor configuration is that the first resistor will be small and all the parallel resistors behind will be the same value. The first resistor is 47k and the parallel resistors were all 2M. Test this configuration with SCR but seems the reading from the output is not as expected. For measurement resistor using 47k, when the first resistor connected to the circuit, the output reading should be half since there are 2 47k resistors in the loop, but the actually reading is 1.246V. The potential cause for this output may be that the effect of the SCR internal resistance. Then we did a test to measurement the internal resistance of an SCR. the result was that with different resistor connected in series with the SCR, the calculation for SCR internal resistance was changing. For the test, for example, if using a 47k resistor and use SCR to turn on another 47k resistor and measure the mid point voltage, the measurement voltage was 1.246V., the SCR resistance is around 23.124K. If using 33K, the SCR resistance calculated is 29K and if using a 470K resistor, the SCR resistance calculated is 8.5K. So need to have another way to connect the resistor to a container and avoid the internal water resistance.
Log.11.20 Consider using MOSFET to control the resistors. The problems would be for now we need to run 5V across the water, which may cause ionization of the water.
Log 11.22 Start building new container and circuits using MOSFET

Log in or sign up for Devpost to join the conversation.