Inspiration
Urine output is a critical parameter, especially in postoperative care. Abnormal urine output is an early warning sign of life-threatening complications related to the surgery and is often serious enough that it can require immediate attention. Despite being so important, current solutions require a nurse to manually note urine output every hour which may cause a delay in noticing any issues as well as causing more work for the nurse.
Our solution is simple; Why not stick a sensor in it?
Methodology
We are testing two methods for measuring the volume of urine. Our methods rely on measuring different physical properties and are designed to minimize the necessary number of connections between the disposable measurement device and controller, and simplifies the design and complexity of the system.
The first method relies on a continuous measurement using a capacitive measurement. The second method relies on a discretized measurement using resistors to provide a measurable voltage at each measurement point.
Milestone 1
Beginning with the capacitive method, we used a self-designed sensor as shown above. Two large conductive sheets closely spaced (copper tape) which provides continuous measurement of the height of liquid within the container, and two small conductive sheets at the bottom of the sensor provide calibration for the system. Using a waveform generator, a sine wave is generated. The changing capacitance of the sensor (due to the change in liquid volume and hence dielectric permittivity) changes (causes a leading wave) which is measured and can be used to calculate the capacitance and in turn the liquid level.
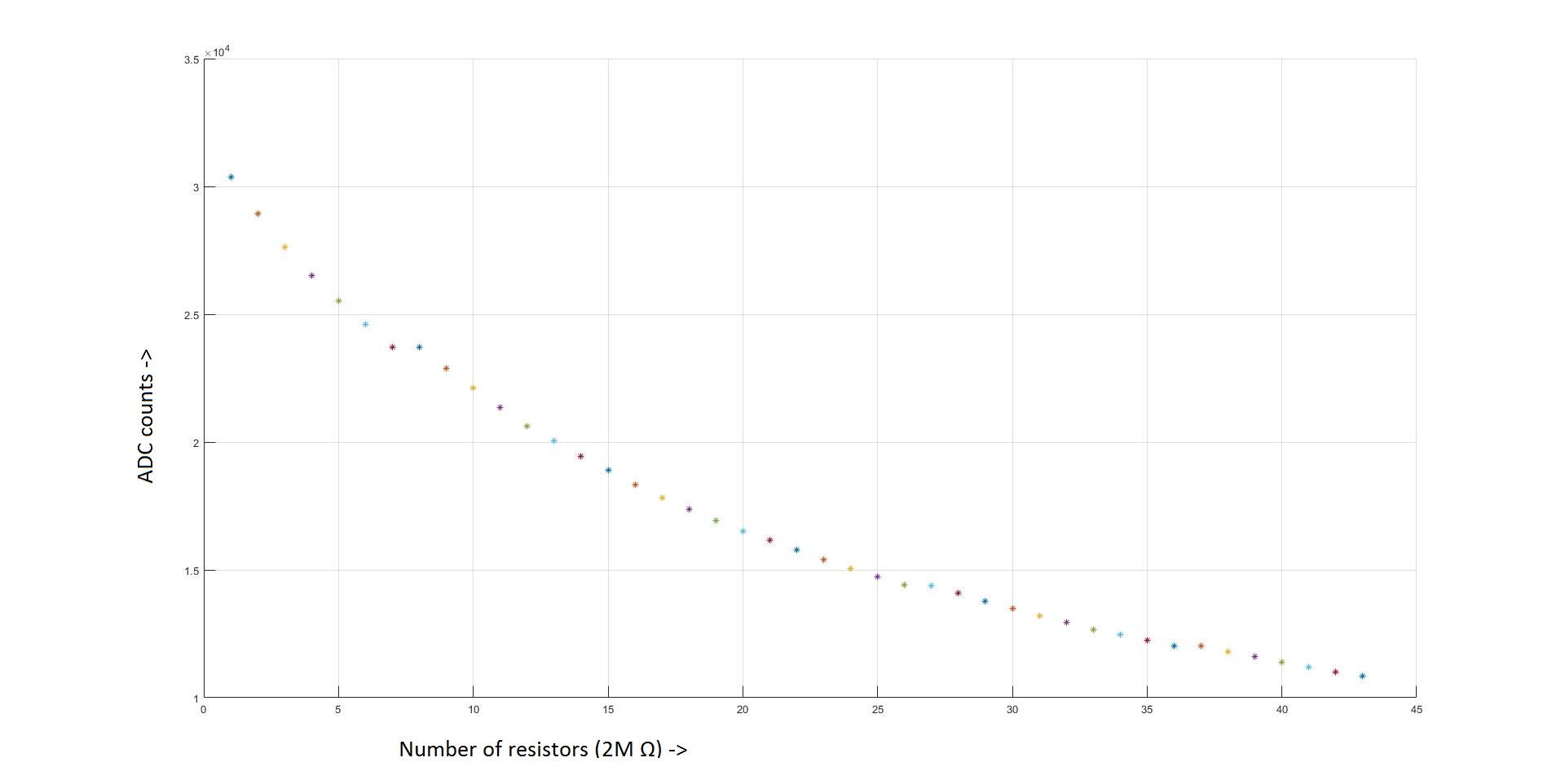
The second method uses a set of resistors that form a discrete measurement of fluid level. The urine simply completes the circuit and voltage output (across the resistor) is measured to give us an output. The main design consideration is to make sure that the solution leads to a minimum number of pins coming out of the container (in our case we have 3).
Milestone 2
Our second milestone involves testing both solutions and eventually deciding on the best one for final testing in the hospital. We've attached our test data for both methods.
Milestone 3
Our next iteration will involve building a container and adding a display and web server for our Urine meter. Also we are working on improving the resistive method so that we can linearize the measurement rather the 1/x curve we currently have.
Hardware used
1) Arduino Uno, Arduino MKR1000 2) 16 bit ADC 3) Photon 4) Waveform generator 5) Negative voltage source 6) Op-Amp
Challenges
The Photon is difficult to work with due to the curious decision that requires all code to be uploaded through the cloud. It also causes the Photon to have subpar performance despite having a 120MHz ARM Cortex M4
The waveform generator does not program with anything except the UNO. Despite multiple workarounds (such as level shifting the SPI to 5V, using other microcontrollers). This is currently a major sticking point.
Built With
- arduino
- ee

Log in or sign up for Devpost to join the conversation.