Inspiration
The novel coronavirus (COVID-19) has spread around the world and has left uncertainty in its wake. Times like these underscore the need for visibility into the state of risk of your surroundings. To help people make informed and smart decisions, the COVID-19 Neighborhood Risk Watch tool is built to offer visibility based on real time statistics fetched from trusted sources.
What it does
This tool fetches COVID-19 related data from trustworthy sources and applies analytics to provide relevant and timely virus intelligence.
How I built it
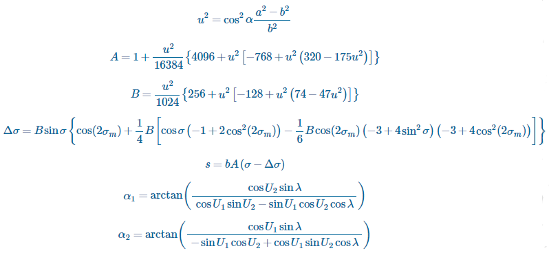
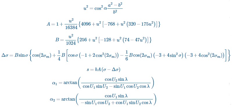
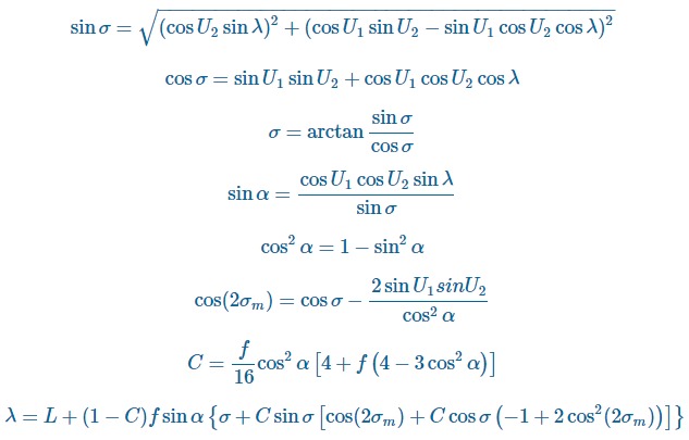
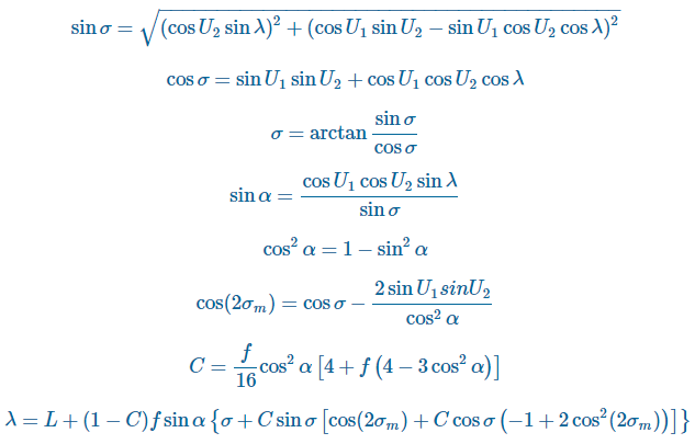
This tool fetches overnightly data from a trusted source hosted on Github. Through the use of Vincenty's formula, the tool calculates the geodesic between two given coordinates and computes the risk exposure based on the distance from user location. I have used javascript OpenLayers framework to plot the cities and their related risk exposures.
Accomplishments that I'm proud of
I am a passionate programmer with appreciation of leveraging my programming skills to empower people and society. I consider this tool as a small contribution that I could make during this time of crisis.
What's next for COVID-19 Neighborhood Risk Watch
The enhancements that I want to make are:
- Ability to send automatic data feeds on virus intelligence to registered users via email.
- Ability to connect users to nearby CDC testing centers.
- Ability to educate users on the latest prospects such as vaccines and medical advancements to cure the virus.
- Ability to advertise COVID-19 focused healthcare products to users.
- Ability to integrate with mobile applications and chatbots.
- Ability to connect users to community medical resources such as doctors and other resources.
Built With
- css3
- html5
- javascript
- materializecss
- openlayers
- openweathermap
Log in or sign up for Devpost to join the conversation.