Inspiration
Bush fires have caused a lot of trouble in 2019, resulting in millions of hectares of forest burnt , lives lost (both animals and people). Therefore the team came up with a machine learning enabled way to help local authorities to better prepare for future crises.
What it does
It produces life saving insights to help save lives and property. This have been mentioned in Blackrock's environmental risk management strategy into the future where natural disasters could happen more frequently. We need to harness technology to help us to better manage these crises.
How we built it
We used Python and TensorFlow.
Challenges we ran into
Combining various machine learning techniques to gain insights is not easy. Finding suitable datasets is difficult.
Accomplishments that we're proud of
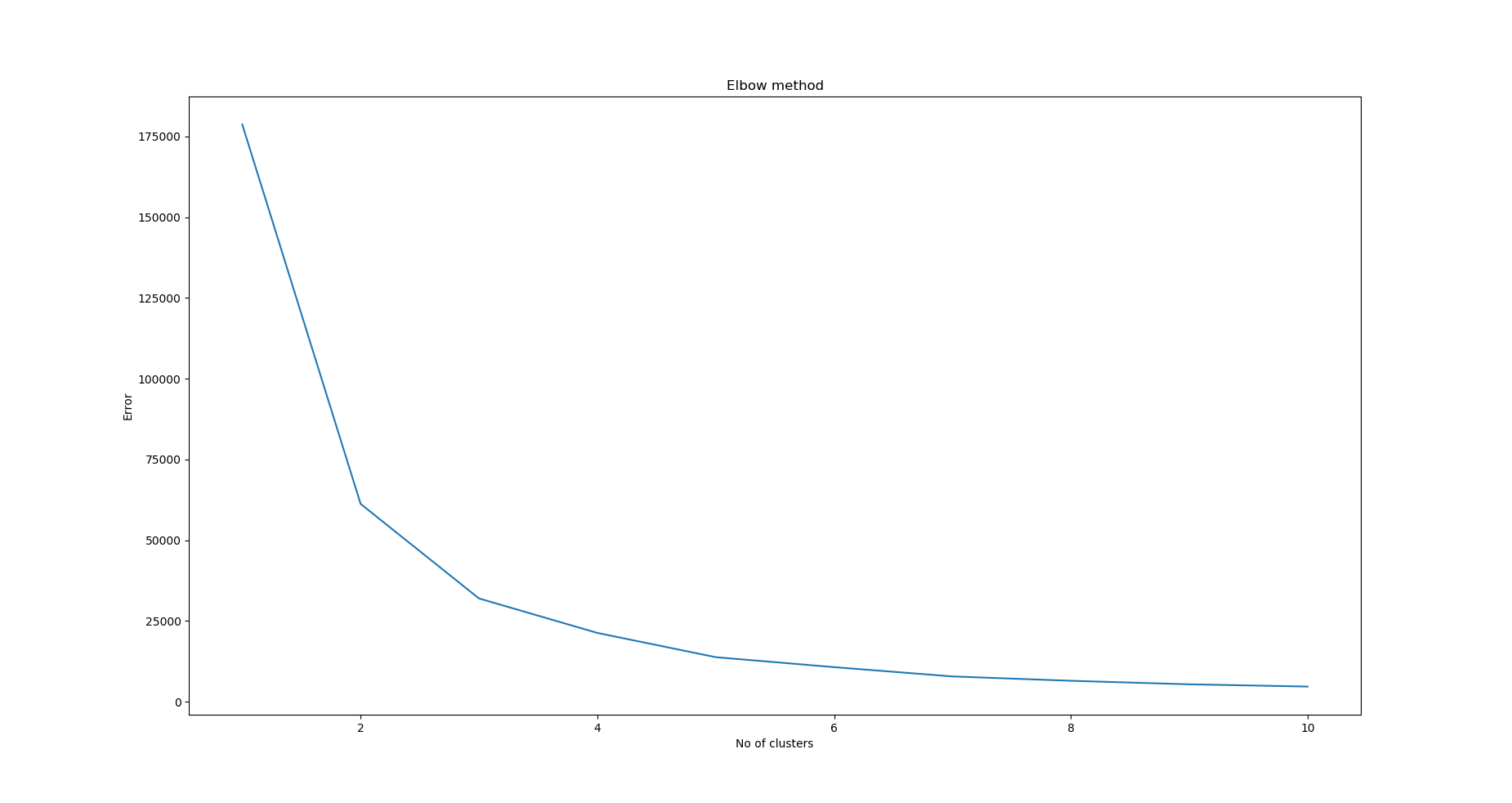
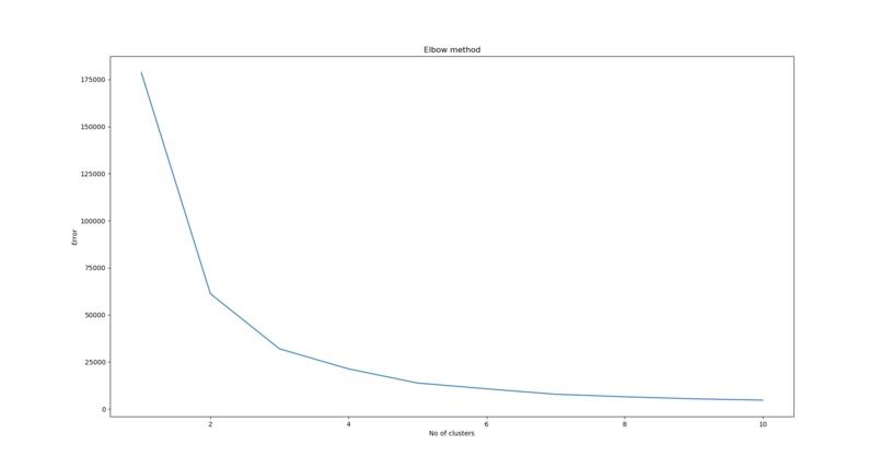
We managed to extract data from images to generate insights from climatic dependence of fire spread
What we learned
Teamwork skills and some machine learning skills.
What's next for Bush Fire Prediction and Resource Deployment
Built With
- python
- tensorflow

Log in or sign up for Devpost to join the conversation.