At the beginning
We started our project to automate radiologists routines. Tons of CT-images processed by our team to start develop something. And now we have a lot of algorithms to deal with them. That's why we decided to join CGH with our project.
What it does
We offer the principle of lungs CT-images quantification with segmentation preprocessing
- Lungs CT-image preprocessed for segmentation
- Lungs masked and segmented
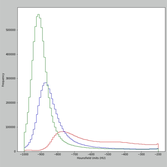
- Mask applied and lungs tissue HU-values calculated
- Magic here!
- COVID-19/Interstitial/Norma classifier
How we built it
We build principles with Colab/Local IPython and implement in our servers
Challenges we ran into
The first challenge is to get properly descripted CT-scans. Most ordinary scans have no description at all. And here is another challenge for our medic teammates. They have to describe all of these scans.
Accomplishments that we're proud of
Collected a huge dataset of lungs-CT
What we learned
Data! The data is the key! The key to successful analysis and results
What's next for Automated classification for COVID-19 pneumonia
Create automated classification tool for radiologists



Log in or sign up for Devpost to join the conversation.