Devpost
Participate in our public hackathons
Devpost for Teams
Access your company's private hackathons
Grow your developer ecosystem and promote your platform
Drive innovation, collaboration, and retention within your organization
By use case
Blog
Insights into hackathon planning and participation
Customer stories
Inspiration from peers and other industry leaders
Planning guides
Best practices for planning online and in-person hackathons
Webinars & events
Upcoming events and on-demand recordings
Help desk
Common questions and support documentation
Knetwork aggregates world-class educational resources, empowering students in communities without internet and connecting them to the knowledge that matters the most.
The hot new LLVM backend: compile your code to a spreadsheet.
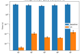
A fast, intelligent query engine built on DuckDB.
Mafia with LLMs!
PulseParty is the app that turns exercise into a dance party! Our wearable tech tracks your heart rate and steps as you move to your favorite tunes, turning fitness into a social, competitive game.
even i can go to ioi now
Koi Bot is an educational, ocean-themed bot where users can spawn animals and collect them!